批量歸一化在深度學習訓練中的作用和實現方法
時間:2024-12-24 來源:華清遠見
引言
隨著深度學習模型的不斷復雜化,如何高效地訓練這些模型成為了研究者們關注的重點。批量歸一化(Batch Normalization, BN)作為一種有效的技術手段,不僅能夠加速模型的訓練過程,還能提高模型的泛化能力。本文將詳細介紹批量歸一化的作用及其在深度學習訓練中的實現方法。
批量歸一化的作用
1. 減少內部協變量偏移: 在深度神經網絡中,每一層的輸入分布都會因為前面層參數的變化而變化,這種現象被稱為內部協變量偏移。批量歸一化通過標準化每一層的輸入,使得模型對參數初始化的敏感度降低,從而有助于加速模型收斂。
2. 加速訓練過程:通過減少梯度消失或爆炸的問題,批量歸一化可以使得訓練過程更加平穩,允許使用更高的學習率,進一步加快訓練速度。
3. 增強模型泛化能力:歸一化操作可以幫助模型更好地從訓練數據中學習到有用的信息,減少過擬合的風險,從而提高模型在未見數據上的表現。
4. 簡化超參數選擇:由于BN層的存在,對于激活函數的選擇、權重初始化等超參數的選擇變得更加靈活,減少了調參的工作量。
批量歸一化的實現方法
批量歸一化的數學表達式如下:
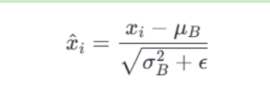
給定一個小批量的數據 x={x1,x2,...,xm},其中 m 是小批量的大小。首先計算該小批量數據的均值 μB 和方差 ��2σB

接著,利用這兩個統計量對每個樣本進行歸一化處理:

這里 E是一個很小的常數,用于防止除零錯誤。最后,為了恢復模型的學習能力,引入兩個可學習參數 Y 和 B,分別用來縮放和位移歸一化后的數據:

在訓練過程中,這些統計信息(均值和方差)是針對每個小批量數據計算的;而在測試階段,則通常使用整個訓練集的均值和方差來代替,以保證模型輸出的一致性。
實現技巧
動量更新:在實際應用中,通常會采用動量法來累積移動平均值和方差,以便更好地估計整個訓練集的統計特性。
選擇合適的 E值:雖然 \(\epsilon\) 的默認值通常足夠好,但在某些情況下調整此值可能有助于改善模型性能。
放置位置:BN 層通常放置在激活函數之前或之后,這取決于具體的網絡結構和任務需求。實踐中發現,在激活函數前使用BN效果更好。
結論
批量歸一化是深度學習中一項非常重要的技術,它不僅能夠顯著提升模型訓練的速度和穩定性,還能有效增強模型的泛化能力。正確理解和應用這一技術,對于開發高效的深度學習模型具有重要意義。希望本文能為讀者提供有價值的參考,助力于解決實際問題。

